Ongsiek Haustechnik
Bünder Str. 17
33613 Bielefeld
Tel.: 0521 893041
ongsiek.haustechnik@t-online.de
Auf dieser Seite werden Geräte in loser Folge vorgestellt. Elektro - Warmwassergeräte eine praktische Erfolgsgeschichte. Die Geräte haben sich von "dummen" schlecht isolierten Boilern siehe rechts >>>>>> zu "intelligenten" Präzisionsgeräten entwickelt. Wer hat es bemerkt? Eigentlich ist die Aufgabe doch gar nicht so schwer, man nehme kaltes Wasser füge ein wenig Energie bei und flugs ist es warm. Die Tücke, liegt, wie so oft, im Detail, Sie möchten mehr erfahren näheres in den Artikeln zu den speziellen Geräten.
|
|
5 Liter Untertischspeicher sind überall anzutreffen, ich behaupte einmal, 5 Liter Untertischspeicher sind die am häufigsten anzutreffenden Warmwassergeräte.
Ach ja, werden Sie vielleicht denken, wie aufregend........
Aber haben Sie denn schon gehört, dass der Hauptnachteil dieser Geräte endlich beseitigt wurde.
Es tropft nicht mehr beim Aufheizen!
Nun gut das gilt natürlich nicht für alle Hersteller und Geräte aber es gibt solche von Stiebel Eltron® siehe Bild und von AEG®, vielleicht auch noch andere Hersteller aber das kann ich im Moment nicht mit Bestimmtheit behaupten.
Das Bild zeigt den SNU 5 SL antitropf comfort

Im Vergleich dazu ein alter Speicher, der noch beim Hochheizen tropft, äußerlich ist bis auf das geänderte Design nicht viel Unterschiedliches zu erkennen.
Für die mäßige Spülenschrankinstallation des linken Spülenschranks können wir nichts, das waren wahrscheinlich die Küchenmonteure, für den rechten sind wir verantwortlich und der stammt noch aus einem nordischen "Möbelhaus".

Heute bei einem Beratungsgespräch zum Thema Warm-Wasser in der Küche, wurde mir klar was dem nicht Fachmann unklar war, daher dieser kleine Nachtrag.
Funktion eines offenen drucklosen Untertischspeichers.
Was heißt offen?
Der Ausgang, warmer Anschluss (rot), des Speichers ist nicht durch eine Armatur verschließbar - also dauernd offen.
Warum?
Weil sich Wasser beim Aufheizen ausdehnt, dieses größere Volumen muss irgendwo hin, bei den Standardgeräten tropft das überschüssige Wasser in die Spüle ab.
Die Menge kann man folgend berechnen:

Dieses Verlustwasser wird in den nicht tropfenden Geräten aufgefangen, das können Sie aber auch Becher in die Spüle stellen und zum Blumengießen verwerten - OK .... aber für wenige kleine Blumen reicht es.
Das Gerät (kann variieren) hat eine Anschlussleistung von ca. 2 KW = 2000 W.
Es benötigt, wenn es mit 2000 W, das Wasser von 10°C auf 55°C Aufheizt, ca. 7,8 min das entspricht 0,1305 h.
Bei einem Strompreis von ca. 0,30€/KWh entspricht das 0,08€ oder aber 8 Cent/€.
Wenn es Aufgeheizt ist, und sich Ausgeschaltet hat, verbraucht es natürlich keinen Leistung mehr, es ist halt aus.
Dieses unten abgebildete Excel Berechnungs-Tool finden Sie unter der Rubrik >>Diverse>>>Helferlein und Excel<< Sie können es downloaden und als kleines Dankeschön für Ihren Besuch behalten.

Wärmeverluste durch Abstrahlung
Gemäß eines Herstellers:
Energieverbrauch bei ständiger Wassertemperatur im Speicher von 65°C bei einer Umgebungstemperatur von 20°C, gemessen nach DIN 44532 = 0,32 kWh/24h.
Die Kosten hierfür belaufen sich bei 0,30€/kWh * 0,32kWh = 0,10 €/Tag.
TIP:
Allerdings kann man die Kosten noch weiter senken. in dem man die Temperatur um 10 °C auf 55 °C absenkt. Das entspricht so in etwa der E - Stellung der meisten Geräte und schützt ihr Gerät gegen übermäßige Verkalkung.
Drucklos?
Wie oben schon beschrieben ist der Warmwasserausgang des Speichers offen und niemals durch die Armatur verschlossen.
Für offene drucklose Speicher sind spezieelle Armaturen zu verwenden, durch alle anderen Armaturen wird das Gerät zerstört.
Ein weiterer beliebter Fehler ist das verwenden von speziellen Auslaufaufsätzen an der Armatur, der tödlichste von allen ist ein Wasser-Sparaufsatz welcher einen Druckmechanismus hat um das Wasser auszuschalten, nur das hierbei der Auslauf verschlossen wird, und das Gerät beim nächsten Aufheizen platzen kann.
Sie wissen ja sicher noch aus dem Physikunterricht oder sonst, dass man Wasser nicht komprimieren kann, da bei einer Druckerhöhung irgendetwas nachgeben muss, wird es sicher ihr Speicher sein.

Diese Speicherart wird oft als Kompromisslösung eingesetzt, wenn nicht genügend elektrische Energie für Durchlauferhitzer zur Verfügung steht, oder kurzzeitige Zapfmengen über die Leistungsfähigkeit eines Durchlauferhitzers gehen.
Im Gegensatz zum oben vorgestellten drucklosen 5 Liter Kleinspeicher, ist dieser Speicher ein Druckspeicher welcher somit auch eine für Druckspeicher übliche Sicherheitsgruppe vorgeschaltet werden muss (Bild2).
Der Einsatz dieser Geräte, will wohl überlegt sein, da die Geräte recht groß, und teurer als Durchlauferhitzer sind. Die Wassermenge ist natürlich über den Speicherinhalt begrenzt.
Im nachfolgenden Artikel ist ein Berechnungsmuster aufgezeigt mit welchen die Mischwassermenge ermittelt werden kann.

30 Liter Speicherinhalt, neuster Bauart (2011)

Sicherheitsgruppe

Es wird manchmal die Frage gestellt, wie viel Liter Wasser mit ca. 35 °C zur Verfügung stehen. Das kann ich auch nicht wissen, denn, es kommt darauf an, wie warm der Speicher ist, und welche Temperatur das kalte Wasser hat.
Im Sommer kommt es so mit ca. 10 °C und im Winter so um 4 °C ins Haus, dort wird sich die Temperatur noch ändern meist erhöhen, je nach Verlegeart und Isolation der Rohre und welche Temperaturzonen mit welcher Länge durchquert wurden, selbstverständlich ist noch ein wesendlicher Faktor die Verweilzeit des Wassers im Rohrsystem usw.
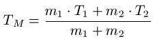
Aber man kann es leicht ausrechnen, unter Verwendung der vereinfachten
Richmannschen Mischungsregel
![]()
Die spezifische Wärmekapazität C1 + C2 kann entfallen, da es sich in den beiden zu mischenden Mengen um den gleichen Stoff / Wasser handelt.

Tm = Temperatur Mischwasser
T1 = Temperatur Menge 1
T2 = Temperatur Menge 2
m1 = Menge 1
m2 = Menge 2

Musterrechnung 1
Misch - Temperatur aus zwei Mengen:

-----------------------------------------------------------------------------------------------
Musterrechnung 2
Misch - Menge ermitteln, welche zugemischt werden muss, um Tmisch zu erreichen.

Vielleicht kann es ja mal eine/r gebrauchen.

Diese Arbeiten wurden i. J. 2005 ausgeführt. Aktuell schreiben wird d. J. 2012, die Umrüstung arbeitete bis jetzt störungsfrei.
Der Grund der Umrüstung war ein defektes Gasgerät. Da die Mieter vorher schon über Temperaturschwankungen beim duschen klagten, und das Gerät wohl auch an einer etwas unglücklichen Stelle montiert war, wurde entschieden, das neu ein elektronischer Durchlauferhitzer eingebaut wurde.
Dieser hat fast nur Vorteile.
Wie es nun einmal überall so ist, wo Licht ist, ist auch Schatten, zu den Nachteilen:
Vorgefundene Situation:


---------------------------------------------------------------------------------------
Situation nach der Umrüstung:
.


So, nun sind wir fertig.
Viel Spaß mit dem neuen Gerät.
Danke für Ihr Interesse.

Ich muss sagen, dieses Gerät wurde nicht Weiterentwickelt. Kochendwassergeräte sind aber auch recht selten geworden, in den Küchen werden diese Geräte immer mehr von 5 Liter Speichern abgelöst. Nur im Altbestand findet man noch solche Geräte.
Hier der seltene Normalfall Altgerät defekt, Rep.- Aussichtslos,.
Tausch gegen ein Neugerät.


